Fundamentos electromagnéticos, análisis cuantitativo y criterios prácticos de diseño

 

Resumen

El efecto Skin, o efecto pelicular, es un fenómeno electromagnético fundamental que condiciona el comportamiento de los conductores cuando son recorridos por corrientes alternas de radiofrecuencia. En el ámbito de las antenas para alta frecuencia (HF), utilizadas ampliamente en radioafición, este efecto influye de manera directa en la resistencia efectiva del conductor, las pérdidas óhmicas, la eficiencia de radiación y el rendimiento global del sistema radiante.

Este artículo presenta un análisis exhaustivo del efecto Skin, integrando fundamentos teóricos, formulación matemática, ejemplos numéricos, tablas de referencia y criterios prácticos de diseño aplicables a la construcción de antenas HF. El objetivo es proporcionar una comprensión profunda y rigurosa que permita optimizar el diseño de antenas y desmontar interpretaciones simplistas o erróneas habituales en la práctica radioaficionada.

Palabras clave

Efecto Skin; efecto pelicular; antenas HF; radiofrecuencia; resistencia AC; eficiencia de antena; radioafición

 

Introducción

En el diseño de antenas para radiofrecuencia, y de manera particular en el rango de altas frecuencias (HF, 3–30 MHz), el comportamiento eléctrico de los conductores difiere significativamente del observado en corriente continua o a bajas frecuencias. Uno de los fenómenos físicos responsables de esta diferencia es el efecto Skin, que provoca una distribución no uniforme de la corriente alterna dentro del conductor.

Aunque el efecto Skin es mencionado con frecuencia en la literatura de radioafición, su comprensión suele ser incompleta o simplificada en exceso. Esto conduce, en muchos casos, a decisiones de diseño poco eficientes o innecesariamente complejas. El presente trabajo tiene como finalidad analizar el efecto Skin desde un enfoque riguroso pero accesible, conectando la teoría electromagnética con la práctica real de la construcción de antenas HF.

Origen físico del efecto Skin

El efecto Skin tiene su origen en la interacción entre los campos electromagnéticos variables y los materiales conductores. Cuando una corriente alterna circula por un conductor, genera un campo magnético variable que induce corrientes parásitas en el interior del propio conductor. Estas corrientes inducidas se oponen al flujo de corriente original, de acuerdo con la ley de Lenz.

Como consecuencia de esta interacción, la densidad de corriente es máxima en la superficie del conductor y decrece exponencialmente hacia el interior. Este fenómeno no depende de la forma geométrica del conductor, sino que es una consecuencia directa de las ecuaciones de Maxwell aplicadas a medios conductores.

Profundidad de penetración y formulación matemática

Definición de profundidad pelicular

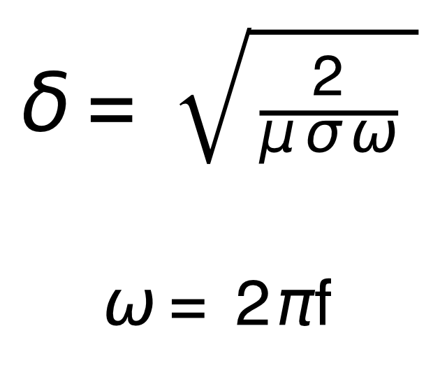
La profundidad de penetración, o profundidad pelicular (δ), se define como la distancia desde la superficie del conductor a la cual la densidad de corriente se reduce al 37 % de su valor máximo superficial. Se expresa mediante la ecuación:

donde:

  • δ es la profundidad pelicular (m)
  • μ es la permeabilidad magnética del material (H/m)
  • σ es la conductividad eléctrica (S/m)
  • ω es la frecuencia angular (rad/s), con ω = 2πf

 Dependencia con la frecuencia

La ecuación anterior muestra que la profundidad pelicular disminuye con la raíz cuadrada de la frecuencia. Esto implica que, a medida que aumenta la frecuencia, la corriente queda confinada en una capa cada vez más superficial del conductor.

Evaluación numérica en la banda HF

Estos valores evidencian que, incluso en la parte baja de HF, la corriente se concentra en una capa extremadamente delgada comparada con el diámetro típico de los conductores de antena.

Ejemplo numérico

Para un conductor de cobre a 14 MHz:

  • σ = 5,8 × 10⁷ S/m
  • μ ≈ μ₀ = 4π × 10⁻⁷ H/m
  • f = 14 MHz

Se obtiene:

Esto significa que más del 99 % de la corriente circula en los primeros 0,1 mm desde la superficie del conductor.

Resistencia AC y pérdidas óhmicas

Diferencia entre resistencia DC y AC

En corriente continua, la resistencia de un conductor depende de su sección transversal total. Sin embargo, en radiofrecuencia, debido al efecto Skin, la sección efectiva de conducción se reduce a una fina envolvente superficial, lo que provoca un aumento de la resistencia AC respecto a la resistencia DC.

Impacto en la eficiencia de la antena

La resistencia total de una antena puede expresarse como:

El efecto Skin incrementa la resistencia de pérdidas, reduciendo la fracción de potencia transformada en radiación electromagnética. Este efecto es especialmente crítico en antenas eléctricamente cortas y en bobinas de carga.

Materiales conductores en antenas HF

Los materiales ferromagnéticos presentan profundidades peliculares muy reducidas y pérdidas elevadas, por lo que no son adecuados como conductores radiantes.

Geometría del conductor

Conductores macizos y huecos

Dado que la corriente circula esencialmente por la superficie, un tubo hueco presenta una resistencia AC prácticamente idéntica a la de un conductor macizo del mismo diámetro exterior, con claras ventajas mecánicas.

Influencia del diámetro

El aumento del diámetro reduce la resistencia AC, pero con rendimientos decrecientes. A partir de cierto valor, el incremento del diámetro aporta mejoras marginales frente al aumento de peso y coste.

 Aplicación práctica al diseño de antenas HF

  • En antenas resonantes de tamaño completo, diámetros moderados ofrecen un excelente compromiso entre eficiencia y viabilidad mecánica.
  • En antenas cortas, el efecto Skin y las pérdidas óhmicas dominan el comportamiento, siendo imprescindible maximizar la superficie conductora.
  • En bobinas, es preferible utilizar conductor de gran diámetro o tubo, antes que hilo fino.

 Ideas erróneas habituales

  • El interior del conductor no está “inactivo”, pero su contribución es mínima.
  • El efecto Skin es relevante en HF y no solo en VHF o UHF.
  • El uso de conductores excesivamente gruesos no siempre mejora el rendimiento de forma proporcional.

El efecto Skin es un fenómeno electromagnético clave en el diseño de antenas HF. Su comprensión rigurosa permite optimizar materiales, geometrías y técnicas constructivas, mejorando de forma tangible la eficiencia y el rendimiento de los sistemas radiantes. Para el radioaficionado avanzado, dominar este concepto supone un paso decisivo hacia un diseño de antenas más científico y eficaz.

No puedes copiar el contenido de esta página